Toggle navigation
Mittelstufe / Realschule
Analysis | Geraden und Parabeln
Basisumformungen - Grundlagenrechnen
Gleichungen
Trigonometrie - Stereometrie
Sonstige Mathe-Themen
Themenübersicht
Mittelstufe
Oberstufe / Studium
Analysis | Grundlagen der Funktionsanalyse
Analysis | Tiefere Einblicke
Analysis | Die verschiedenen Funktionstypen
Analysis | Höhere Mathematik
Vektorgeometrie / Analytische Geometrie
Stochastik | Wahrscheinlichkeit, Statistik
Matrizen
Sonstige Mathe-Themen
Themenübersicht
Oberstufe / Studium
Downloads
Lernplan
Mathe-Trainings-Heft
Lernbuch-Reihe
Anleitung CAS / GTR
Weiteres
go!
Start
>
Studium
>
Sonstige Mathe-Themen
>
G.06 | Bruchgleichungen
>
G.06.02 | Definitionsmenge
>
Rechenbeispiel4
Studium
! Rechenbeispiel
Rechenbeispiel 4 zu:
G.06.02 | Definitionsmenge
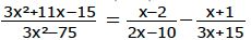
Bestimmen Sie die Definitionsmenge der Gleichung:
Rechenbeispiele:
G.06.02 | Definitionsmenge
Rechenbeispiel 1
Rechenbeispiel 2
Rechenbeispiel 3
Rechenbeispiel 4